什么是非球面透镜,有哪些优势?

非球面透镜是一种折射面为非球面的曲面的透镜,通常可分成简单曲面(如抛物面)和复合曲面两类。与球面透镜相比,球面透镜表面是回转对称的球面表面,即从透镜的中心到边缘具有恒定的曲率,非球面透镜表面为回转对称的不是球面的表面,即符合特定表达式的回转对称的且表面是光滑连续的表面。

(图源网络,侵删)
非球面透镜具有更佳的曲率半径,可以维持良好的像差修正,以获得所需的性能。这种透镜可以消除球面畸变,通过优化曲面形状有效减少或消除边缘处的畸变,使图像边缘的物体变形或扭曲得到更好的矫正。
其次,非球面透镜可以提高光束的聚焦能力,根据需要定制曲面形状以将光线聚焦到更小的斑点上。这使得非球面透镜在激光聚焦、光通信等领域中非常有用。此外,非球面透镜还可以提供更平坦的光场,即使在离轴角度较大的情况下也能获得良好的成像质量。这使得非球面透镜在照明系统、投影仪等领域中有广泛的应用。

(图源网络,侵删)
非球面透镜的另一个重要特点是其可以实现多焦点功能,通过调整曲面形状将不同波长的光线聚焦到不同的焦点上。这对于一些需要同时处理多个波长的应用,如光谱成像和光谱测量等是非常有用的。
在光学设计上,非球面透镜的曲率半径随着中心轴而变化,用以改进光学品质,减少光学元件,降低设计成本。通过调整曲面常数和非球面系数,非球面透镜可以最大限度地消除球差,实现更小的光学系统,并提高系统的稳定性。
光学系统中采用的非球面有三大类:第一类是轴对称非球面,如回转圆锥曲面、回转高次曲面;第二类是具有两个对称面的非球面,如柱面、复曲面;第三类是没有对称性的自由曲面。非球面透镜的表达式可以有多种形式,通常用于描述其非球面的形状。以下是一些常见的非球面透镜表达式:
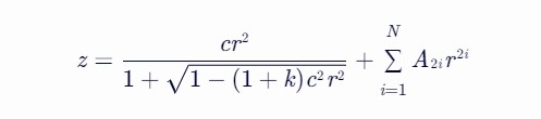
圆锥曲面表达式:
这是最常用的非球面表达式之一,它基于圆锥曲面并迭加一系列的高次多项式。表达式形式如下:

其中,z是垂直于光轴的坐标,r 是到光轴的径向距离,c 是顶点曲率(c=1/R,其中 R 是顶点曲率半径),k 是圆锥系数,A2i 是第 2i 次非球面系数。
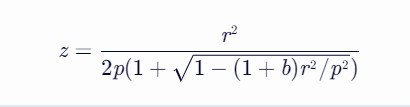
2. 二次曲面表达式:

另一种常见的非球面表达式是基于二次曲面,它可以具有离心率 e 和顶点曲率 p。表达式形式如下:
其中,b = e^2是离心率 e 的平方。
3. 多项式表达式:
可以使用多项式来直接描述非球面的形状。例如,一个简单的多项式表达式可以是:

其中,Ai 是各项系数。
4. Zernike多项式:
在某些高级应用中,可能会使用Zernike多项式来描述非球面形状。Zernike多项式在光学设计和测试中常用于表示和评估波前畸变。
非球面透镜的加工制造方法包括精密玻璃成型、金刚石车削和注塑成型等。精密玻璃成型是将玻璃材料加热至高温并压入非球面模具中,然后逐渐冷却至室温以形成透镜。金刚石车削则使用单点金刚石刀具对透镜进行加工,以获得高精度的表面光洁度和形状精度。注塑成型则是将熔融塑料注入非球面模具中以生产塑料非球面透镜。

(图源网络,侵删)
非球面透镜的优势
非球面透镜相较于球面透镜具有多个显著的优点,这些优点使其在多个领域得到广泛应用。以下是非球面透镜的主要优点:
1.成像质量更高:非球面透镜能够根据光线入射的位置和角度进行对焦,从而提高成像的清晰度和分辨率。而球面透镜在边缘部分和离轴区域容易产生像差,导致图像模糊或失真。
2.消除色差:非球面透镜通过优化透镜的曲率和厚度分布,能够降低或消除色差。球面透镜由于球面形状的限制,难以消除色差,而非球面透镜则能更好地实现光的各色成分在焦点上的聚焦。
3.尺寸更小、重量更轻:在实现相同功能时,非球面透镜可以采用更薄更轻量的设计,使光学系统更加紧凑和便携。
4.广阔的折射率调节范围:非球面透镜具有更广阔的折射率调节范围,可以用来纠正眼睛的屈光不正问题,如近视、远视等。
5.更好的像差修正:非球面透镜具有更佳的曲率半径,可以维持良好的像差修正,以获得所需的性能。这使得非球面透镜在摄影镜头中能够校正众多的“像差”,提高成像质量。
6.宽广视野和平坦光场:非球面透镜通过优化曲面形状,能够在离轴角度较大的情况下仍然保持良好的成像质量,提供更为宽广的视野和平坦的光场。这在照明系统、投影仪等应用中尤为重要。
7.多焦点功能:非球面透镜通过调整曲面形状,实现了多焦点功能,即能够将不同波长的光线聚焦到不同的焦点上。这使得非球面透镜在应对不同波长的光线时具有更高的灵活性。
8.设计和制造成本降低:由于非球面透镜能够改进光学品质并减少光学元件,因此在设计和制造过程中可以降低成本。