减反射膜原理
减反射膜又称增透膜、AR膜、AR片、减反射膜、AR滤光片,它的主要功能是减少或消除透镜、棱镜、平面镜等光学表面的反射光,从而增加这些元件的透光量,减少或消除系统的杂散光。最简单的增透膜是单层膜,它是镀在光学零件光学表面上的一层折射率较低的薄膜。如果膜层的光学厚度是某一波长的四分之一,相邻两束光的光程差恰好为π,即振动方向相反,叠加的结果使光学表面对该波长的反射光减少。适当选择膜层折射率,这时光学表面的反射光可以完全消除。

(图源网络,侵删)
一般情况下,采用单层增透膜很难达到理想的增透效果,为了在单波长实现零反射,或在较宽的光谱区达到好的增透效果,往往采用双层、三层甚至更多层数的减反射膜。减反射膜是应用最广、产量最大的一种光学薄膜,因此,它至今仍是光学薄膜技术中重要的研究课题,研究的重点是寻找新材料,设计新膜系,改进淀积工艺,使之用最少的层数,最简单、最稳定的工艺,获得尽可能高的成品率,达到最理想的效果。对激光薄膜来说,减反射膜是激光损伤的薄弱环节,如何提高它的破坏强度,也是人们最关心的问题之一。
光具有波粒二相性,即从微观上既可以把它理解成一种波、又可以把他理解成一束高速运动的粒子(注意,这里可千万别把它理解成一种简单的波和一种简单的粒子。它们都是微观上来讲的。 红光波的波长=0.750微米 紫光波长=0.400微米。 而一个光子的质量是 6.63E-34 千克. 如此看来他们都远远不是我们所想想的那种宏观波和粒子.) 增透膜的原理是把光当成一种波来考虑的,因为光波和机械波一样也具有干涉的性质。
在镜头前面涂上一层增透膜(一般是"氟化钙",微溶于水),如果膜的厚度等于红光(注意:这里说的是红光)在增透膜中波长的四分之一时,那么在这层膜的两侧反射回去的红光就会发生干涉,从而相互抵消,你在镜头前将看不到一点反光,因为这束红光已经全部穿过镜头了.
为什么我从来没有看到没有反光的镜头? 原因很简单,因为可见光有“红、橙、黄、绿、蓝、靛、紫”七种颜色,而膜的厚度是唯一的,所以只能照顾到一种颜色的光让它完全进入镜头,一般情况下都是让绿光全部进入的,这种情况下,你在可见光中看到的镜头反光其颜色就是蓝紫色,因为这反射光中已经没有了绿光。膜的厚度也可以根据镜头的色彩特性来决定。
定义及其设计
二十世纪三十年代发现的增透膜促进了薄膜光学的早期发展.对于技术光学的推动来说,在所有的光学薄膜中,增透膜也起着最重要的作用.直至今天,就其生产的总量来说,它仍然超过所有其他的薄膜 因此,研究增透膜的设计和制备教术,对于生产实践有着重要的意义.
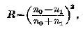
我们都知道,当光线从折射率n0的介质射入折射率为n1的另一介质时,在两介质的分界面上就会产生光的反射.如果介质没有吸收,分界面是一光学表面,光线又是垂直入射,则反射率R为透射率为
透射率为:
例如,折射率为1。52的冕牌玻璃,每个表面的反射约为4.2%左右。折射率较高的火石玻璃,则表面反射更为显著.这种表面反射造成了两个严重的后果:光能量损失,使象的亮度降低;表面反射光经过多次反射或漫射,有一部分成为杂散光,最后也到达象平面,使象的衬度降低,从而影响系统的成象质量,特别是电视、电影摄影镜头等复杂系统,都包台了很多个与空气相邻的表面,如不敷上增透膜将完全不能应用.
目前已有很多不同类型的增透膜可供利用.以满足技术光学领域的极大部分需要.可是复杂的光学系统和激光光学,对减反射性能往往有特殊严格的要求.例如.大功率激光系统要求某些元件有极低的表面反射,以避免敏感元件受到不需要的反射的破坏.此外,宽带增透膜提高了象质量、色平衡和作用距离,而使系统的全部性能增强.因此,生产实际的需要促使了减反射膜的不断发展.
在比较复杂的光学系统中, 入射光的能量往往因多次反射而损失。例如,高级照相机的镜头有六、七个透镜组成。反射损失的光能约占入射光能的一半,同时反射的杂散光还要影响成像的质量。为了减少入射光能在透镜玻璃表面上反射时所引起的损失,常在镜面上镀一层厚度均匀的透明薄膜(常用氟化镁MgF2,其折射率为1.38,介于玻璃与空气之间),利用薄膜的干涉使反射光能减到最小,这样的薄膜称为增透膜。
现在我们来看一下简单的单层增透膜。设膜的厚度为e,当光垂直入射时,薄膜两表面反射光的光程差为 2ne,由于在膜的上、下表面反射时都有相位突变 ,结果没有附加的相位差,两反射光干涉相消时应满足:

单层增透膜
单层增透膜膜的最小厚度应为(相应于k=0 )
![]()
由于反射光相消,因而透射光加强。
单层增透膜只能使某个特定波长λ的光尽量减少反射,对于相近波长的其他反射光也有不同程度的减弱,但不是减到最弱,对于一般的照相机和目视光学仪器,常选人眼最敏感的波长λ=550nm作为“控制波长”,在白光下观看此薄膜的反射光,黄绿色光最弱,红光蓝光相对强一些,因此镜面呈篮紫色。
有些光学器件需要减少其透射率,以增加反射光的强度。如氦氖激光器中的谐振腔反射镜,要求对波长λ=632.8nm 的单色光的反射率达99%以上。如果把低折射率的膜改成同样厚度的高折射率的膜,则薄膜上下表面的两反射光使干涉加强,这就使反射光增强了,而透射光就减弱,这样的薄膜就是增反膜或高反射膜。一般的单层增反膜可使反射率提高到30%以上,而多层增反膜可以提高的更多。由于这种介质膜对光的吸收很少,所以比镀银、镀铝的反射镜效果更佳。